Data/Statistics

[통계학 기초]6. 상관 분석

pub-lican01 2016. 3. 4. 23:12



상관 분석 Correlation analysis

양의 상관 positive correlation : 한 변수X의 값이 증가하면 다른 변수 Y도 증가한다 (상관계수 1에 가까움)

음의 상관 negative correlation : 한 변수X의 값이 증가하면 다른 변수 Y가 감소한다 (상관계수 -1에 가까움)


Linear / Nonlinear



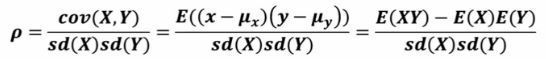
상관계수 : 두 양적 변수의 선형 관계의 강약 과 방향을 나타내주는 측도

X와 Y의 표본상관계수

표본 공분산으로 표본상관계수 구하기






상관계수 특징

- 표준화를 통해 항상 -1~1사이의 값만 가짐

- 두 변수의 측정단위를 바꾸어도 상관계수는 불변

- 상관계수의 절대값은 강약을 나타내고, 부호는 선형관계의 방향을 나타냄


예제) X, Y 의 결합확률분포


 Y\X

 0

1

 합계

 0

0.05

0.05 

0.10 

 0.2

 1

0.05 

0.10 

0.25 

0.10 

 0.5 

 2

0.15 

0.1 

0.05 

 0.3

합계 

0.1 

0.3 

0.45 

0.15 

 1

X 평균 E(X) = 0*0.1+1*0.3+2*0.45+3*0.15 = 1.65

Y 평균 E(Y) = 0*0.2+1*0.5+2*0.3 = 1.1

X 분산 V(X) = E(X^2)-E(X)^2 = 0^2*0.1+1^2*0.3+2^2*0.45+3^2*0.15 - (1.65)^2 = 0.85^2

Y 분산 V(Y) = (0.7)^2

XY평균 E(XY) = 1*0.10+2*0.25+3*0.10+2*0.15+4*0.10+6*0.05 = 1.90



출처 : http://www.kocw.net/home/cview.do?cid=08b0c5f1f6959396

반응형